词法分析 | 分析树和二义性文法
分析树
1、推导可以表达成树状的形状结构 (和推导的顺序无关)
2、特点
一、树中的每个内部节点代表非终结符
二、每个叶子节点代表终结符
三、每一步推导代表如何从双亲节点生成它的直接孩子节点。
例子1
如果G为
E--> num E--> id E--> E+E E--> E*E
推导出5+6*7 为如下图
第一种推导方式
第二种推导方式
他们的结果完全不相同。
这就导致了二义性的产生。正确的应该是第一种的方式。
那么基于存在二义性的问题。可以通过三种解决方案:
二义性的消除
1、将二义文法改成非二义文法; 2、规定二义文法中符号的优先级和结合性; 3、改变语言的结构或书写方式。
使用第一种方法
需要引入新的终结符,且新引入的非终结符
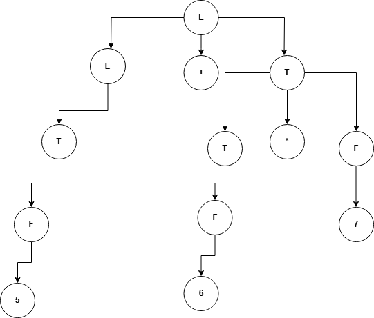
E -> E + T | T T -> T * F | F F -> num | id
5+6*7的推导过程
E -> E + T -> T + T -> F + T -> 5 + T -> 5 + T * F -> 5 + F * F -> 5 + 6 * F -> 5 + 6 * 7
使用第二种方法
引入优先级的
E -> T | E + T | E - T T -> num | T * num | T / num
这样的一个推导过程
E -> T E -> E + T E -> T + T T -> T * num T -> num * num E -> 5 + T E -> 5 + T * F E -> 5 + F * F E -> 5 + 6 * F E -> 5 + 6 * 7
还有更多的方式可以参考如下的链接
https://www.jianshu.com/p/2d55d50f8bc4





